
1. Chỉ tiêu, hình thức, đối tượng tuyển sinh
1.1. Chỉ tiêu tuyển sinh: 69 chỉ tiêu.
1.2. Hình thức tuyển sinh: Xét tuyển dựa vào kết quả học tập bậc Cao đẳng.
1.3. Đối tượng tuyển sinh
– Thí sinh dự tuyển đã tốt nghiệp ít nhất 1 Văn bằng Cao đẳng, được công nhận theo quy định của Bộ GDĐT. Trường hợp thí sinh tốt nghiệp trình độ Cao đẳng do các cơ sở đào tạo nước ngoài cấp phải được Bộ GDĐT công nhận.
– Có đủ sức khỏe để học tập.
– Nộp hồ sơ đầy đủ, đúng thời hạn theo quy định của Hội đồng tuyển sinh.
2. Các chương trình đào tạo và nguyên tắc xét tuyển
2.1. Chương trình đào tạo
| STT | Chương trình đào tạo | Ngành | Mã | Chỉ tiêu |
|---|---|---|---|---|
| 1 | Quản trị | Quản trị kinh doanh | 7340101 | 13 |
| 2 | Tài chính | Tài chính – Ngân hàng | 7340201 | 36 |
| 3 | Kế toán doanh nghiệp | Kế toán | 7340301 | 20 |
– Chương trình đào tạo: Tổng cộng 120-125 tín chỉ, bao gồm cả thực tập và tốt nghiệp (trong thời gian đào tạo, sinh viên phải hoàn thành chuẩn đầu ra theo quy định), UEH sẽ xét miễn trừ khối lượng kiến thức thí sinh đã học ở trình độ Cao đẳng (tối đa 50% tổng số tín chỉ chương trình đào tạo của UEH) và đào tạo bổ sung phần kiến thức còn lại dựa trên văn bằng và bảng điểm ở trình độ Cao đẳng nộp kèm theo hồ sơ tuyển sinh trên cơ sở đối sánh 01 (một) chuẩn chung với chương trình đào tạo đại học chính quy của UEH. Do đó, số lượng tín chỉ mỗi thí sinh cần học sẽ khác nhau tùy thuộc vào bảng điểm của thí sinh đã học ở trình độ Cao đẳng. Thí sinh tham khảo thông tin tại links https://tuyensinh.ueh.edu.vn/vua-lam-vua-hoc/lien-thong-cao-dang/ ;
– Thí sinh thực hiện đăng ký đối soát, giảm trừ khối lượng học tập tại: doisoat.ueh.edu.vn
– Trường hợp cần trao đổi thêm thông tin về đối soát, thí sinh vui lòng liên hệ theo email: tuyendnb@ueh.edu.vn
– Trường hợp chương trình đào tạo thí sinh đăng ký có số lượng trúng tuyển không đủ theo quy định mở lớp, thí sinh sẽ được chọn một trong các hình thức sau:
+ Đăng ký xét chuyển chương trình đào tạo (có mở lớp);
+ Học ghép với sinh viên Đại học chính quy ban ngày;
+ Nhận lại lệ phí xét tuyển.
2.2. Nguyên tắc xét tuyển
Nguyên tắc xét tuyển: Căn cứ vào chỉ tiêu tuyển sinh, UEH xét trúng tuyển những thí sinh có điểm trung bình chung tích lũy toàn khóa học bậc Cao đẳng (tính theo thang điểm 10) theo thứ tự ưu tiên từ cao đến thấp.
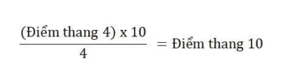
Trường hợp bảng điểm tốt nghiệp của thí sinh chỉ tính theo thang điểm 4, UEH thực hiện quy đổi sang thang điểm 10 theo công thức sau:

Đăng ký xét tuyển theo đối tượng ở Bước 3 tại link: https://xettuyen.ueh.edu.vn/
3. Thực hiện thủ tục xác nhận nhập học và nộp hồ sơ nhập học (sau khi có thông báo trúng tuyển)
– Xem hướng dẫn tại links https://nhaphoc.ueh.edu.vn/ hoặc http://daotao.ueh.edu.vn/
– Hồ sơ gồm có:
+ Bản chính Phiếu thông tin sinh viên Liên thông Đại học Vừa làm vừa học (In phiếu tại hệ thống đăng ký hồ sơ xét tuyển, ký tên, dán ảnh chân dung 3×4 và xác nhận tại cơ quan, tổ chức có thẩm quyền);
+ Bản sao Văn bằng tốt nghiệp Cao đẳng;
+ Bản sao Giấy chứng nhận kết quả học tập Cao đẳng (bảng điểm có ghi rõ tên môn học, số tín chỉ, điểm từng môn, tên chuyên ngành đào tạo, hình thức đào tạo);
+ Bản sao (Bản trích lục) Giấy khai sinh;
+ Bản sao CCCD/Thẻ căn cước;
+ 01 (một) ảnh 3x4cm chụp theo kiểu CCCD (phía sau ảnh ghi rõ họ tên, ngày sinh).
+ Trường hợp thí sinh tốt nghiệp Cao đẳng theo hình thức liên thông: Bổ sung bản sao Văn bằng tốt nghiệp và bản sao Giấy chứng nhận kết quả học tập của bậc trung cấp;
+ Trường hợp thí sinh tốt nghiệp trình độ Cao đẳng do các cơ sở đào tạo nước ngoài cấp phải được Bộ GDĐT công nhận theo quy định.
Lưu ý: Giấy tờ Bản sao phải có chứng thực của cơ quan, tổ chức có thẩm quyền. Bản sao còn gọi là bản photo có công chứng.
Hình thức nộp hồ sơ: Nộp trực tiếp tại UEH trong giờ làm việc (Sáng: 07g30 – 11g00; Chiều: 13g30 – 16g00);
Các mốc thời gian thí sinh cần lưu ý
| STT | Nội dung | Thời gian |
|---|---|---|
| 1 | Đăng ký hồ sơ xét tuyển | Từ ngày ra thông báo đến 16h30 ngày 12/6/2026 |
| 2 | Đóng lệ phí xét tuyển | Hạn chót đến hết ngày 18/6/2026 |
| 3 | Thông báo kết quả xét tuyển | Dự kiến 16g30 ngày 29/6/2026 |
| 4 | Thực hiện thủ tục xác nhận nhập học và nộp hồ sơ nhập học | 07/7/2026 – 08/7/2026 |
| 5 | Thời gian bắt đầu học chính thức | Dự kiến tháng 8/2026 |